跳至主要内容

"我们检测到您正从 {0} 访问。是否要切换语言,以获取更适合您的内容?"

我们解决了工艺强化和负载能力方面的难题

蛋白质纯化对下游工艺具有显著影响,特别是在从实验室规模过渡到生产规模时,同时实现工艺强化和高负载能力颇具挑战性。Solventum 为阴离子交换(AEX)纯化单元操作提供了创新解决方案,结合了 Q 基团功能化的纤维无纺材料和创新的胍基功能化膜,两者协同作用可实现高效的病毒清除和宿主细胞蛋白去除。3M™ Polisher ST 系统能够在更广泛的条件下运行,让您用更少的资源实现更高的效率。此外,该系统易于试用,我们的专家团队可以协助您优化工艺,解决制造工艺中的难题。

穿着无尘服的人将产品装入支架

简化、强化、节省时间和成本的净化

3M™ Polisher ST可以替代下游的多个步骤

凭借其专有技术,3M™ Polisher ST 系统能够显著提升单克隆抗体(mAb)的收率和病毒清除效率,并大幅减少宿主细胞蛋白(HCPs)含量,从而简化工艺流程并替代多个操作步骤。我们的全球专家团队可以协助您选择最适合您工艺需求的产品,帮助您在压缩纯化和除杂步骤的同时节省时间和成本。

一位科学家手持两个试管,另一位科学家指着其内容。

更快实现全面生产

3M™ Polisher ST 系统能够显著提升您的下游工艺(DSP)效率,助力您的创新成果从构想到全面生产快速转化。该系统是一款合成的、完全封装的一次性阴离子交换(AEX)设备,包含两种互补的 AEX 功能化介质,其中一种带有新型胍基配体。这些创新材料能够增强您高产的层析式纯化工艺,从而提高产量、纯度,并实现工艺强化。作为一种经济实惠且紧凑的解决方案,3M™ Polisher ST 在实验室规模即可轻松试用,帮助您在早期阶段验证和优化工艺。

一位科学家手持两个试管,另一位科学家指着试管中的内容。

提高您工艺的产量和纯度

通过强化纯化步骤,3M™ Polisher ST 消除了对下游深层过滤和膜过滤的需求。在多种操作条件下,该系统已由像您这样的专业人士独立验证,能够显著提升病毒清除率、单克隆抗体(mAb)收率,并大幅降低宿主细胞蛋白(HCPs)含量。3M™ Polisher ST 是我们长期致力于膜科学在层析生产中的应用以及所积累的丰富经验的结晶。

HCP减少和mAb回收的等高线图

实现您的效率与可持续发展目标的解决方案

每批产量提高意味着您可以生产更少的批次达到目标产量,或在相同批次数量下实现更高产出,同时显著降低成本。根据一项案例研究,仅 3M™ Polisher ST 单独使用即可使年生产能力提高 12%,并降低销售成本 13%。此外,预计该系统还能减少设施能耗 3%,降低设施能耗强度 13%。
 
通过工艺强化,所需占地面积和能耗均得以减少,从而相应降低温室气体排放。仅 3M™ Polisher ST 就能有效降低能耗;若结合其他 Solventum 解决方案,您的工艺将实现更高的整体效率。
 

生物处理技术员正在设置一个试点规模的产品容器和胶囊

AEX技术

在下游操作中,不应局限于传统的季铵基(“Q”)功能化介质。3M™ Polisher ST 不仅具备这一功能,还提供了更多优势。该系统在一个设备中集成了两种互补的阴离子交换(AEX)功能介质,具有更大的容量,能够显著提升下游纯化操作的纯度和产量。

AEX功能化膜

通过添加三层经阴离子交换(AEX)功能化处理的聚酰胺微孔膜,其上共价连接有胍基官能聚合物,可实现卓越的性能。这些膜位于 Q基 功能化介质的下游,具有 0.8 微米的标称孔径,从而实现了对宿主细胞蛋白(HCP)和病毒的高效去除。

显微镜下的膜图像

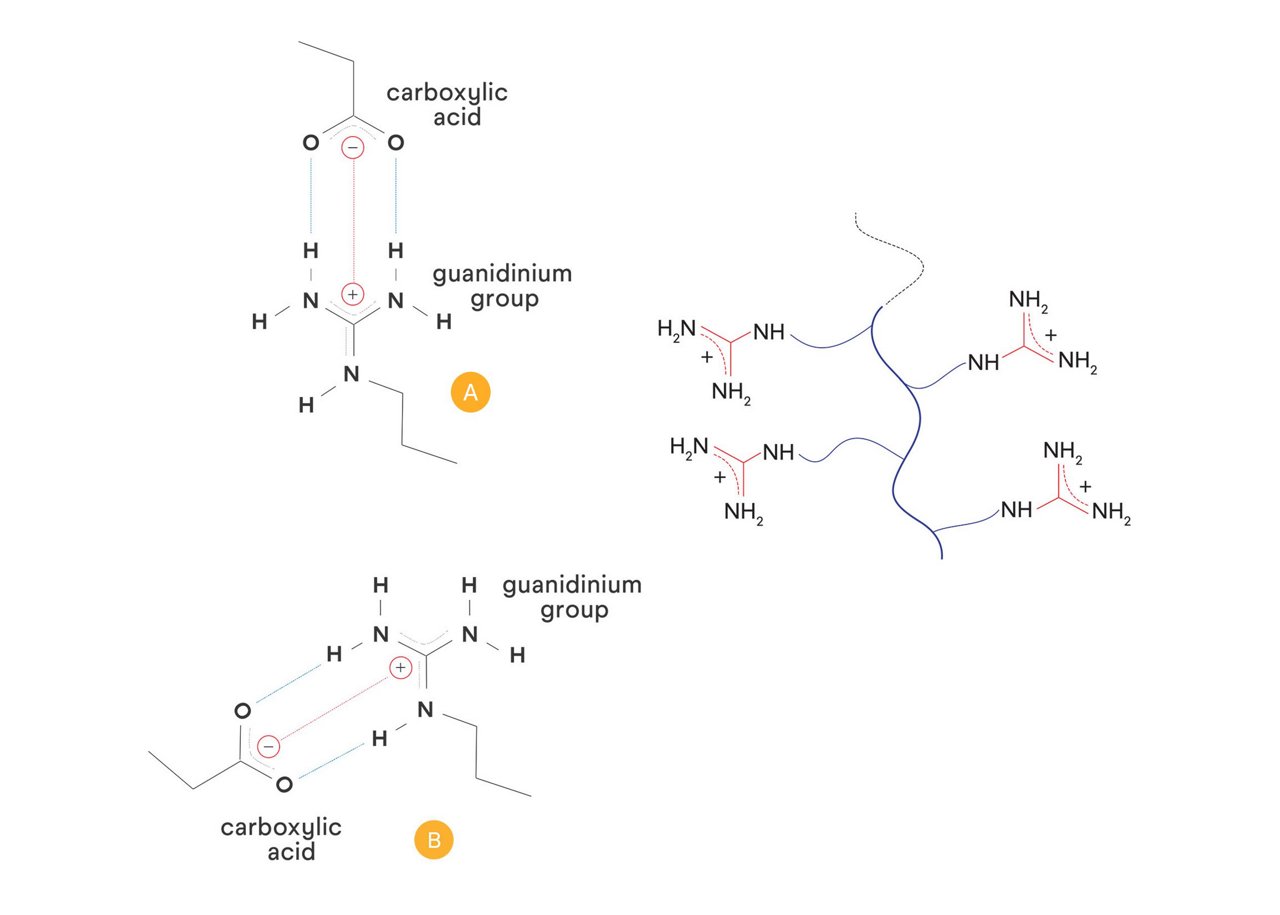
新型胍基配体

该新型胍基配体模仿了带正电荷的氨基酸精氨酸,能够以耐盐的方式与带负电荷的杂质相互作用,既通过静电作用又通过两个氢键进行结合。高配体密度使得单克隆抗体(mAb)的负载能力比传统层析树脂珠高出 50 至 100 倍。

线条艺术插图的双氮杂萜配体

单克隆抗体收率

3M™ Polisher ST 具有卓越的单克隆抗体(mAb)收率性能。无论缓冲液是单价还是多价,其收率均能超过 95%,并且在广泛的 pH 范围(5.0 至 7.5)和电导率范围(小于 5.0 mS/cm 至 20 mS/cm)内保持稳定。

条形图显示单价和多价缓冲液中的% mAb回收率

HCP减少

3M™ Polisher ST 具有高动态抗体负载能力(10 千克/平方米),且停留时间仅为 Q 基树脂的五分之一。在含约 500 ppm HCP 的 VIN 单克隆抗体池中,该系统在磷酸盐缓冲液中可实现超过 60% 的宿主细胞蛋白(HCP)去除率,在柠檬酸盐缓冲液中可实现超过 22% 的去除率。

条形图显示单价和多价缓冲液中HCP减少情况

病毒清除

在电导率为 5 至 20 mS/cm、pH 值为 5.5 至 7.5 的工艺条件下,使用 3M™ Polisher ST 可实现 4 至 7 个对数病毒减少值(LRV)。对于 XMuLV、Reo-3 和 PrV,观察到的病毒减少值均超过 6 个对数;而对于 MVM,则超过 4 个对数。

条形图显示BSA DBC在10%突破时的数据

可扩展性

3M™ Polisher ST 可助力您的创新成果从实验室顺利推向市场。3M™ Polisher ST 的实验室及放大胶囊具有单克隆抗体(mAb)负载能力,范围从 1 克到 1 千克。此外,所有胶囊尺寸的单位面积牛血清白蛋白(BSA)动态结合容量(DBC)保持一致。

条形图显示BSA DBC在10%突破点

School of Purification :即刻开启学习之旅

由我们全球的专家团队精心打造,他们致力于研究生物制药过滤和纯化领域的创新技术,School of Purification 为您提供丰富的资源,助力您和团队迅速提升专业能力。这些免费的网络研讨会和学习资料涵盖了突破瓶颈、优化效率、行业趋势及未来前景等多方面内容。

一位在家工作的微笑女士的照片

探索3M™ Polisher ST常见问题解答

是的。现代色谱膜,如3M™ Polisher ST,已被证明是稳健和可扩展的,从实验室到生产规模都适用。这使得一次性色谱装置可以取代大型的多次使用柱,节省空间和缓冲液。

是的。新型阴离子交换功能,例如胍基和在较小程度上的伯胺,已被证明在更广泛的条件下能够去除问题性的HCPs,与传统的Q化学相比。

3M™ Polisher ST 的优势包括较小的占地面积、更高的装载容量、更少的缓冲剂使用,以及无需包装/重新包装/验证。

是的,3M™ Polisher ST 也是一个有效的病毒去除步骤,作为正交病毒清除技术平台的一部分。在 pH 5.5 至 7.5 和 5 至 20 mS/cm 的处理条件下,可以实现 4 至 7 LRV。病毒清除性能与格式无关,例如传统的 AEX 柱与 3M™ Polisher ST。性能直接关联于所使用的功能性配体、进料和处理条件。 

下一步

了解更多关于我们的产品

探索我们为您的业务提供的全面解决方案,涵盖各个运营层面的需求。

行业领先的新闻资讯和专业资源

浏览由我们的专家编写的、经过同行评审的文章、技术文档、宣传册和资源库,其中涵盖了与您的行业相关的趋势和主题。

还有问题吗?

我们的客户支持专家可以提供帮助。

保持联系

请随时了解我们的产品和教育资源。